06 Jul 2020
An Integrated Polygeneration Strategy to Unlocking the Full Potential of Bio-oil
Lignin valorisation
Dr Kok Siew Ng (University of Oxford) and Dr Elias Martinez Hernandez (Mexican Institute of Petroleum) have recently published a book chapter in "Towards Sustainable Chemical Processes", Elsevier.
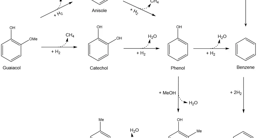
The primary challenge in commercializing bio-oil technologies is the high capital investment and operating costs. The key to resolve this challenge is to maximize the value of products that can be extracted from bio-oil through realizing a flexible, multiple product generation and integrated system configuration, known as polygeneration system. In this study, an integrated bio-oil steam reforming and hydrodeoxygenation (BOSR-HDO) system, with simultaneous production of hydrogen, chemicals, heat, and power, is developed.
The preprint of the article can be found on ResearchGate:


Lignin valorisation

Integrated bio-oil steam reforming and HDO system
The SYNERGORS Project
The SYNERGORS project (“A systems approach to synergistic utilisation of secondary organic streams”), funded by the Natural Environment Research Council (NERC), is led by Dr Kok Siew Ng from the Department of Engineering Science, University of Oxford. This project aims to develop new systems approaches and decision-making tools for promoting resource recovery from secondary organic waste streams including fossil- (e.g. used plastics) and biomass-derived waste (e.g. food waste, residual biomass).
SYNERGORS will provide significant insights into various options for organic waste reduction and utilisation, and propose viable business models to attract stakeholders in the commercial sectors to invest in these areas. Furthermore, the research will address various socio-environmental challenges faced by human and living communities, the rising global demands in energy and commodities, and lessening burdens on the landfill, water and atmosphere.
It is envisaged that the outcomes from this project (e.g. decision-making tool and roadmap) can be adopted in the UK and other developing countries in improving the policies and practices in relation to organic waste management. The objectives of the project are well aligned with the UK Industrial Strategy in enhancing resource efficiency while achieving a sustainable industrial growth and a more resilient economy. The project has received support from a number of UK and international organisations (academia, industry and government), providing multidisciplinary expertise to address the global challenges in waste management.
Acknowledgement
This work was supported by the Natural Environment Research Council (NE/R012938/1) through the NERC/NPIF Industrial Innovation Fellowship Programme.